Spectroscopy of High Pressure Gases: Novel Light Sources in the VUV
Creating a photon Bose-Einstein condensate in the ultraviolet regime
The aim of this experiment is to generate a Bose-Einstein condensate (BEC) of photons in the vacuum-ultraviolet wavelength range (100-200nm). For this our group’s well-established experimental approach for Bose-Einstein condensation of visible photons (around 580nm wavelength, based on repeated absorption and emission cycles of photons in a liquid dye solution confined to a microcavity) needs to be adapted, as the high energies of VUV photons would lead to the dissociation of the dye molecules. Accordingly, a different thermalization medium has to be identified.
We here plan to employ noble gases, who have suitable transition lines in the VUV spectral regime, at high pressure. For example, the xenon atom has a transition at near 147nm wavelength from the ground state to the lowest electronically excited state. In the dense gaseous system, frequent collisions of solvent molecules with the dye, which are responsible for thermalization of rovibrational manifolds in ground and excited electronic levels respectively in our visible spectral regime dye-filled microcavity experiments, are replaced by collisions among gas atoms. For a gas at pressure in the 100bar regime, the collisional rate can become faster than the upper electronic state spontaneous decay, such that both upper and lower electronic states quasimolecular manifolds can thermalize. This thermalized nature then imprints on the spectral characteristics of the gas. Such dense gaseous samples can indeed show a Boltzmann-type Kennard-Stepanov frequency scaling between absorption and emission spectral line shapes, thus they are attractive candidates for a thermalization medium of VUV spectral regime photons. In recent work, we have been investigating heteronuclear noble gas mixtures, as mixtures of xenon with a lighter noble gas, which compared to a pure noble gas system have the advantage of an observed increased overlap between the absorption and the emission spectral lines, as understood from the shallower well depth of the excited state quasimolecular manifolds in such systems.

Artist's view of the Microresonator: Light is reflected at the mirrors of the resonator, and thermalizes by contact to Xenon atoms that form a quasi-molecule with Krypton during the frequent collisions.
Some insights

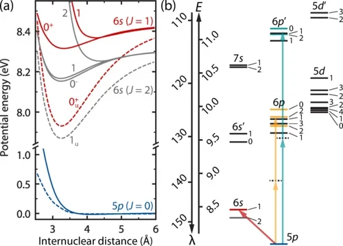
Potential energy curves of xenon-Krypton dimers and excimers. Using a two-photon transition (green arrows) photons can be injected into the system at high Krypton pressures.

The logarithmic ratio of the absorption and emission shows a linear behaviour with the wavenumber over a broad range for a xenon-krypton mixtures at 80bar total pressure. This indicates that the Kennard-Stepanov relation, which ius a prerequisite for photon condensation, is fulfilled in this system.
Key publications:
C. Wahl, M. Hoffmann, T. vom Hoevel, F. Vewinger, and M. Weitz, Phys. Rev. A 103, 022831 (2021).
T. vom Hövel, F. Huybrechts, E. Boltersdorf, C. Wahl, F. Vewinger, and M. Weitz,
arXiv 2304.12803 (2023)
Team
Eric Boltersdorf
Dr. Thilo vom Hövel